题目内容
已知函数(1)求a的值;
(2)证明f(x)在(-∞,+∞)上为增函数.
【答案】分析:(1)由函数f(x)为奇函数得到f(-x)=-f(x),建立关于x的恒等式,利用系数为0即可得a的范围.
(2)先设自变量值,任取x1、x2∈(-∞,+∞)且x1<x2,然后通过作差比较f(x1)与f(x2)的大小,即得函数的单调性.
解答:解:(1)∵f(-x)=-f(x),即
=-
,
+
=0⇒(a+1)(2x+1)=0⇒a=-1.
(2)任取x1、x2∈(-∞,+∞)且x1<x2,
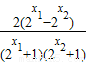
f(x1)-f(x2)=
-
=
,
∵x1<x2,∴2X1<
,
又∵2X1+1>0,
+1>0,
∴f(x1)-f(x2)<0,即f(x1)<f(x2),
∴f(x)在(-∞,+∞)上为增函数.
点评:本题考查了函数奇偶性的性质,函数单调性的判断,定义是解决问题的根本,是个中档题.
(2)先设自变量值,任取x1、x2∈(-∞,+∞)且x1<x2,然后通过作差比较f(x1)与f(x2)的大小,即得函数的单调性.
解答:解:(1)∵f(-x)=-f(x),即
(2)任取x1、x2∈(-∞,+∞)且x1<x2,
f(x1)-f(x2)=
∵x1<x2,∴2X1<
又∵2X1+1>0,
∴f(x1)-f(x2)<0,即f(x1)<f(x2),
∴f(x)在(-∞,+∞)上为增函数.
点评:本题考查了函数奇偶性的性质,函数单调性的判断,定义是解决问题的根本,是个中档题.
练习册系列答案
相关题目