题目内容
设Sn为等差数列{an}的前n项和,且a1=-2010,A.-2008
B.-2012
C.2008
D.2012
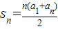
【答案】分析:利用等差数列前n项和公式
,以及题意求出公差,再由等差数列的定义求出第二项的值.
解答:解:∵等差数列前n项和公式
,
∴
,
所以a2=a1+d=2010+2=-2008,
故选A.
点评:本题考查了等差数列前n项和公式和定义的应用,注意前n项和公式的灵活应用.
解答:解:∵等差数列前n项和公式
∴
所以a2=a1+d=2010+2=-2008,
故选A.
点评:本题考查了等差数列前n项和公式和定义的应用,注意前n项和公式的灵活应用.
练习册系列答案
相关题目
设Sn为等差数列{an}的前n项和,若S8=30,S4=7,则a4的值等于( )
A、
| ||
B、
| ||
C、
| ||
D、
|