题目内容
已知函数f(x)=|x+a|-|x-a|(a≠0),A.偶函数,奇函数
B.奇函数,偶函数
C.偶函数,偶函数
D.奇函数,奇函数
【答案】分析:根据函数奇偶性的定义,根据绝对值的性质,判断f(-x)与f(x)的关系,可以判断f(x)的奇偶性,分类讨论h(-x)与h(x)的关系,可以判断h(x)的奇偶性
解答:解:∵f(x)=|x+a|-|x-a|(a≠0),
∴f(-x)=|-x+a|-|-x-a|=|x-a|-|x+a|=-f(x)
∴f(x)为奇函数;
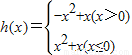
∵
,
当x>0时,-x<0,
h(-x)=(-x)2+(-x)=x2-x=-h(x),
当x<0时,-x>0,
h(-x)=-(-x)2+(-x)=-x2-x=-h(x)
当x=0时,h(0)=0,也满足h(-x)=-h(x)
故h(x)为奇函数;
故选D
点评:本题考查的知识点是函数奇偶性的判断,其中熟练掌握函数奇偶性的定义是解答的关键.
解答:解:∵f(x)=|x+a|-|x-a|(a≠0),
∴f(-x)=|-x+a|-|-x-a|=|x-a|-|x+a|=-f(x)
∴f(x)为奇函数;
∵
当x>0时,-x<0,
h(-x)=(-x)2+(-x)=x2-x=-h(x),
当x<0时,-x>0,
h(-x)=-(-x)2+(-x)=-x2-x=-h(x)
当x=0时,h(0)=0,也满足h(-x)=-h(x)
故h(x)为奇函数;
故选D
点评:本题考查的知识点是函数奇偶性的判断,其中熟练掌握函数奇偶性的定义是解答的关键.
练习册系列答案
相关题目
已知函数f(x)=x2-bx的图象在点A(1,f(1))处的切线l与直线3x-y+2=0平行,若数列{
}的前n项和为Sn,则S2010的值为( )
| 1 |
| f(n) |
A、
| ||
B、
| ||
C、
| ||
D、
|