题目内容
幂函数f(x)的图象过点A.
B.
C.
D.
【答案】分析:根据条件利用幂函数的定义求出其解析式即可.
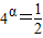
解答:解:设幂函数f(x)=xα(α是常数),
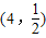
∵幂函数f(x)的图象过点
,
∴
,解得
.
∴
,
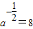
∵f(a)=8,
∴
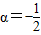
,解得a=
.
故选B.
点评:理解幂函数的定义是解题的关键.
解答:解:设幂函数f(x)=xα(α是常数),
∵幂函数f(x)的图象过点
∴
∴
∵f(a)=8,
∴
故选B.
点评:理解幂函数的定义是解题的关键.
练习册系列答案
相关题目