题目内容
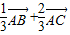
如图,在△ABC中,已知A.
B.
C.
D.
【答案】分析:根据向量减法的三角形法则,将
、
化成用向量
、
和
表示,化简即得所求
的线性表达式.
解答:解:∵
,
∴由
,得
=2(
)
化简可得3
=
,即
=
故选:A
点评:本题给出三角形的一边的一个三等分点,求向量的线性表达式.着重考查了平面向量的减法法则和平面向量的基本定理及其意义等知识,属于基础题.
解答:解:∵
∴由
化简可得3
故选:A
点评:本题给出三角形的一边的一个三等分点,求向量的线性表达式.着重考查了平面向量的减法法则和平面向量的基本定理及其意义等知识,属于基础题.
练习册系列答案
相关题目
| 3 |
A、
| ||||
B、
| ||||
C、
| ||||
D、
|