题目内容
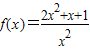
已知函数A.0∈C
B.-1∈C
C.3∈C
D.1∈C
【答案】分析:将函数f(x)化简整理,得f(x)=
,令
=t,转化为关于t的二次函数进行研究,可得函数的值域C=[
,+∞),再将各选项与值域进行对照,即可得到本题的答案.
解答:解:
=
令t=
,得f(x)=t2+t+2(t≠0)
∵t2+t+2=(t+
)2+
≥
∴f(x)的最小值为
,相应的x=-2
可得函数
的值域C=[
,+∞)
由此对照各个选项,可得只有3∈[
,+∞),其它各项均不符合
故选:C
点评:本题采用换元的方法,求分式函数的值域,着重考查了二次函数的图象与性质和函数值域求法等知识,属于基础题.
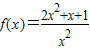
解答:解:
令t=
∵t2+t+2=(t+
∴f(x)的最小值为
可得函数
由此对照各个选项,可得只有3∈[
故选:C
点评:本题采用换元的方法,求分式函数的值域,着重考查了二次函数的图象与性质和函数值域求法等知识,属于基础题.
练习册系列答案
相关题目