题目内容
在△ABC中,角A,B,C的对边分别为a,b,c,且满足cosA=
,
=3,
(1)求△ABC的面积;
(2)若b+c=6,求a的值。
(1)求△ABC的面积;
(2)若b+c=6,求a的值。
解:(1)∵
,又
,
∴
,
∵
,
∴
,
∴bc=5,
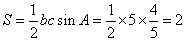
∴△ABC的面积
。
(2)由(1)知bc=5,又b+c=6,
∴
或
,
由余弦定理得
,
∴
。
∴
∵
∴
∴bc=5,
∴△ABC的面积
(2)由(1)知bc=5,又b+c=6,
∴
由余弦定理得
∴
练习册系列答案
相关题目
在△ABC中,角A、B、C所对的边分别为a,b,c,若b2+c2-a2=
bc,且b=
a,则下列关系一定不成立的是( )
| 3 |
| 3 |
| A、a=c |
| B、b=c |
| C、2a=c |
| D、a2+b2=c2 |