题目内容

(本小题满分12分)已知是椭圆的两个焦点,O为坐标原点,点在椭圆上,线段轴的交点满足;⊙O是以F1F2为直径的圆,一直线l与⊙O相切,并与椭圆交于不同的两点AB.

(Ⅰ)求椭圆的标准方程;

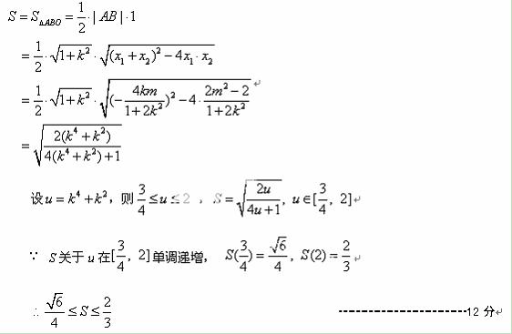
(Ⅱ)当时,求△AOB面积S的取值范围.

(本小题满分12分)

解:(Ⅰ)  点M是线段的中点  OM是的中位线

     

       解得

椭圆的标准方程为                    ┅┅┅┅┅┅┅5分

(Ⅱ)O与直线l相切          即:

    消去y

 

练习册系列答案
相关题目

违法和不良信息举报电话:027-86699610 举报邮箱:58377363@163.com

精英家教网