题目内容
在△ABC中,角A,B,C所对边长分别为a,b,c,若a2+b2=2c2,则cosC的最小值为( )A.
B.
C.
D.
【答案】分析:通过余弦定理求出cosC的表达式,利用基本不等式求出cosC的最小值.
解答:解:因为a2+b2=2c2,
所以由余弦定理可知,c2=2abcosC,
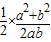
cosC=
=
.
故选C.
点评:本题考查三角形中余弦定理的应用,考查基本不等式的应用,考查计算能力.
解答:解:因为a2+b2=2c2,
所以由余弦定理可知,c2=2abcosC,
cosC=
故选C.
点评:本题考查三角形中余弦定理的应用,考查基本不等式的应用,考查计算能力.
练习册系列答案
相关题目
在△ABC中,角A、B、C所对的边分别为a,b,c,若b2+c2-a2=
bc,且b=
a,则下列关系一定不成立的是( )
| 3 |
| 3 |
| A、a=c |
| B、b=c |
| C、2a=c |
| D、a2+b2=c2 |