题目内容
已知函数f(x)=
x3-ex2+mx+1(m∈R),
,
(Ⅰ)求函数f(x)的单调区间;
(Ⅱ)对任意x1,x2∈R+,若g(x1)<f′(x2)恒成立,求实数m的取值范围。
(Ⅰ)求函数f(x)的单调区间;
(Ⅱ)对任意x1,x2∈R+,若g(x1)<f′(x2)恒成立,求实数m的取值范围。
解:(Ⅰ)f′(x)=x2-2ex+m,令Δ=4(e2-m),
(i)当m≥e2时,f′(x)≥0,∴f(x)在R上递增;
(ii)当m<e2时,Δ>0,令f′(x)>0
,
∴f(x)在
递增,
令f′(x)<0
,
∴f(x)在
递减;
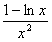
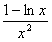
(Ⅱ)∵g′(x)=
,
令g′(x)=
=0时,x=e,
∴g(x)在(0,e)递增,在(e,+∞)递减,
∴
,
又∵f′(x)=(x-e)2+m-e2,
∴当x>0时,f(x)min=m-e2,
∴
,
∴
,即
。
练习册系列答案
相关题目
| π |
| 2 |
A、f(x)=2sin(πx+
| ||
B、f(x)=2sin(2πx+
| ||
C、f(x)=2sin(πx+
| ||
D、f(x)=2sin(2πx+
|