题目内容
已知函数f(x)=alnx+x2(a为实常数).(1)若a=-2,求证:函数f(x)在(1,+∞)上是增函数;
(2)求函数f(x)在[1,e]上的最小值及相应的x值;
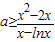
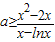
(3)若存在x∈[1,e],使得f(x)≤(a+2)x成立,求实数a的取值范围.
【答案】分析:(1)当a=-2时
故函数 在(1,+∞)上是增函数.
(2)
,当x∈[1,e],2x2+a∈[a+2,a+2e2].若a≥-2,f'(x)在[1,e]上非负,故函数f(x)在[1,e]上是增函数.
若-2e2<a<-2,当
时f'(x)=0,当
时,f'(x)<0,此时f(x)是减函数; 当
时,f'(x)>0,此时f(x)是增函数.
所以此时有最值.若a≤-2e2,f'(x)在[1,e]上非正,所以[f(x)]min=f(e)=a+e2.
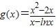
(3)由题意可化简得
(x∈[1,e]),令
(x∈[1,e]),利用导数判断其单调性求出最小值为g(1)=-1.
解答:解:(1)当a=-2时,f(x)=x2-2lnx,当x∈(1,+∞),
,
(2)
,当x∈[1,e],2x2+a∈[a+2,a+2e2].
若a≥-2,f'(x)在[1,e]上非负(仅当a=-2,x=1时,f'(x)=0),故函数f(x)在[1,e]上是增函数,此时[f(x)]min=f(1)=1.
若-2e2<a<-2,当
时,f'(x)=0;
当
时,f'(x)<0,此时f(x)是减函数;
当
时,f'(x)>0,此时f(x)是增函数.
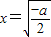
故[f(x)]min=
=
.
若a≤-2e2,f'(x)在[1,e]上非正(仅当a=-2e2,x=e时,f'(x)=0),
故函数f(x)在[1,e]上是减函数,此时[f(x)]min=f(e)=a+e2.
综上可知,当a≥-2时,f(x)的最小值为1,相应的x值为1;当-2e2<a<-2时,f(x)
的最小值为
,相应的x值为
;当a≤-2e2时,f(x)的最小值为a+e2,
相应的x值为e.
(3)不等式f(x)≤(a+2)x,可化为a(x-lnx)≥x2-2x.
∵x∈[1,e],∴lnx≤1≤x且等号不能同时取,所以lnx<x,即x-lnx>0,
因而
(x∈[1,e])
令
(x∈[1,e]),又
,
当x∈[1,e]时,x-1≥0,lnx≤1,x+2-2lnx>0,
从而g'(x)≥0(仅当x=1时取等号),所以g(x)在[1,e]上为增函数,
故g(x)的最小值为g(1)=-1,所以a的取值范围是[-1,+∞).
点评:本题主要考查利用导数研究函数的性质及研究单调性与函数的最值,还考查求参数的范围,解决此类问题的关键是分离参数后转化为恒成立问题,即求新函数的最值问题,是近年高考考查的热点.
(2)
若-2e2<a<-2,当
所以此时有最值.若a≤-2e2,f'(x)在[1,e]上非正,所以[f(x)]min=f(e)=a+e2.
(3)由题意可化简得
解答:解:(1)当a=-2时,f(x)=x2-2lnx,当x∈(1,+∞),
(2)
若a≥-2,f'(x)在[1,e]上非负(仅当a=-2,x=1时,f'(x)=0),故函数f(x)在[1,e]上是增函数,此时[f(x)]min=f(1)=1.
若-2e2<a<-2,当
当
当
故[f(x)]min=
若a≤-2e2,f'(x)在[1,e]上非正(仅当a=-2e2,x=e时,f'(x)=0),
故函数f(x)在[1,e]上是减函数,此时[f(x)]min=f(e)=a+e2.
综上可知,当a≥-2时,f(x)的最小值为1,相应的x值为1;当-2e2<a<-2时,f(x)
的最小值为
相应的x值为e.
(3)不等式f(x)≤(a+2)x,可化为a(x-lnx)≥x2-2x.
∵x∈[1,e],∴lnx≤1≤x且等号不能同时取,所以lnx<x,即x-lnx>0,
因而
令
当x∈[1,e]时,x-1≥0,lnx≤1,x+2-2lnx>0,
从而g'(x)≥0(仅当x=1时取等号),所以g(x)在[1,e]上为增函数,
故g(x)的最小值为g(1)=-1,所以a的取值范围是[-1,+∞).
点评:本题主要考查利用导数研究函数的性质及研究单调性与函数的最值,还考查求参数的范围,解决此类问题的关键是分离参数后转化为恒成立问题,即求新函数的最值问题,是近年高考考查的热点.
练习册系列答案
相关题目