题目内容

函数f(x)=lnx+ax存在与直线2x﹣y=0平行的切线,则实数a的取值范围是_________.

 

【答案】

【解析】

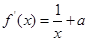
试题分析:∵,∵函数f(x)=lnx+ax存在与直线2x﹣y=0平行的切线,

有解,即有解,即有交点,∴,∴.

考点:1.利用导数求切线的斜率;2.两个函数图像的交点问题.

考点:

 

练习册系列答案
相关题目

违法和不良信息举报电话:027-86699610 举报邮箱:58377363@163.com

精英家教网