题目内容
设f(x)=asin2x+bcos2x,其中a,b∈R,ab≠0.若f(x)≤f(①f(
②|f(
③f(x)既不是奇函数也不是偶函数;
④f(x)的单调递增区间是[kπ+
⑤经过点(a,b)的所有直线均与函数f(x)的图象相交.
以上结论正确的是 (写出所有正确结论的编号).
【答案】分析:化简f(x)的解析式,利用已知条件中的不等式恒成立,得f(
) 是三角函数的最大值,得到x=
是三角函数的对称轴,将其代入整体角令整体角等于kπ+
,求出辅助角θ,再通过整体处理的思想研究函数的性质.
解答:解:∵f(x)=asin2x+bcos2x=±
sin(2x+θ)
由f(x)≤f(
)可得f(
)为函数f(x)的最大值
∴2×
∴
∴f(x)=asin2x+bcos2x=±
sin(2x+
)
对于①f(
)=
sin(2×
+
)=0;故①对
对于②,|f(
)|=
|sin(
+
)|=
|f(
)|=
|sin(
)|=
|sin
|=
∴|f(
)|>|f(
)|故②错
对于③,f(x)不是奇函数也不是偶函数,故③正确
对于④,由于f(x)的解析式中有±,故单调性分情况讨论,故④不对
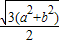
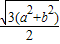
对于⑤要使经过点(a,b)的直线与函数f(x)的图象不相交,则此直线须与横轴平行,且|b|>
,b2>a2+b2这不可能,矛盾,故不存在经过点(a,b)的直线于函数f(x)的图象不相交故⑤正确
故答案为:①③⑤
点评:本题考查三角函数的对称轴过三角函数的最值点、考查研究三角函数的性质常用整体处理的思想方法.
解答:解:∵f(x)=asin2x+bcos2x=±
由f(x)≤f(
∴2×
∴
∴f(x)=asin2x+bcos2x=±
对于①f(
对于②,|f(
|f(
∴|f(
对于③,f(x)不是奇函数也不是偶函数,故③正确
对于④,由于f(x)的解析式中有±,故单调性分情况讨论,故④不对
对于⑤要使经过点(a,b)的直线与函数f(x)的图象不相交,则此直线须与横轴平行,且|b|>
故答案为:①③⑤
点评:本题考查三角函数的对称轴过三角函数的最值点、考查研究三角函数的性质常用整体处理的思想方法.
练习册系列答案
相关题目