题目内容
已知数列满足,记
(1)求数列的通项公式;
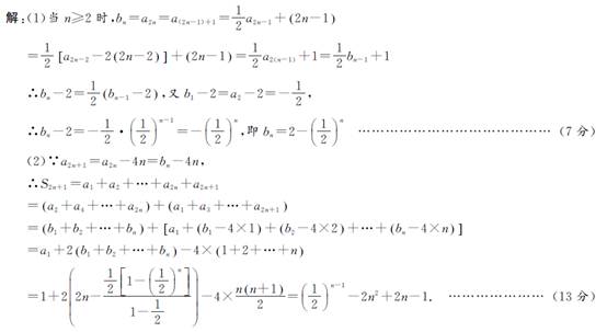
(本小题满分12分)已知数列满足条件:,(1)判断数列是否为等比数列; (2)若,令, 记证明:(ⅰ); (ⅱ)
(本小题满分12分)
已知数列满足条件:,
(1)判断数列是否为等比数列;
(2)若,令, 记
证明:
证明:(ⅰ); (ⅱ)