题目内容
已知f(x)+2f((1)求f(x)的解析式;
(2)解关于x的不等式:3xf(x)<(k+4)x2-(k+1)x+2(其中k<0).
【答案】分析:(1)由f(x)+2f(
)=2x+
(x≠0),知
,由此能求出f(x).
(2)由f(x)=
,3xf(x)<(k+4)x2-(k+1)x+2,知kx2-(k+1)x+1>0,由此能求出关于x的不等式:3xf(x)<(k+4)x2-(k+1)x+2(其中k<0)的解集.
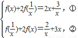
解答:解:(1)∵f(x)+2f(
)=2x+
(x≠0),
∴
,
①-②×2得3f(x)=4x+
,
∴f(x)=
,x≠0.
(2)∵f(x)=
,
3xf(x)<(k+4)x2-(k+1)x+2,k<0
∴kx2-(k+1)x+1>0,
即(kx-1)(x-1)>0,
∵k<0,
∴x∈(
)∪(0,1).
点评:本题考查函数的解析式的求法,考查不等式的求解,是基础题.解题时要认真审题,仔细解答.
(2)由f(x)=
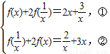
解答:解:(1)∵f(x)+2f(
∴
①-②×2得3f(x)=4x+
∴f(x)=
(2)∵f(x)=
3xf(x)<(k+4)x2-(k+1)x+2,k<0
∴kx2-(k+1)x+1>0,
即(kx-1)(x-1)>0,
∵k<0,
∴x∈(
点评:本题考查函数的解析式的求法,考查不等式的求解,是基础题.解题时要认真审题,仔细解答.
练习册系列答案
相关题目