题目内容
已知函数
。
(Ⅰ)若
,求
;
(Ⅱ)若
,求f(x)的取值范围。
(Ⅰ)若
(Ⅱ)若
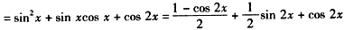
解:(Ⅰ)





由
得

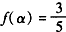
所以
;
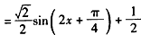
(Ⅱ)由(Ⅰ)得

由
得
所以
从而
。
由
所以
(Ⅱ)由(Ⅰ)得
由
所以
从而
练习册系列答案
相关题目