题目内容

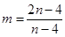
已知log(2m-4)+log(n-4)=3,则的最小值为          .

 

【答案】

【解析】

试题分析:由已知可得,因为log(2m-4)+ log(n-4)=3,所以log(2m-4)(n-4)=3,

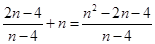
即(2m-4)(n-4)=8,整理得,所以==

=,当且仅当即n=6时,取等号.

考点:1.基本不等式;2.对数的运算性质.

 

练习册系列答案
相关题目

违法和不良信息举报电话:027-86699610 举报邮箱:58377363@163.com

精英家教网