题目内容
已知是首项为19,公差为-2的等差数列,为的前项和.(Ⅰ)求通项及;(Ⅱ)设是首项为1,公比为3的等比数列,求数列的通项公式及其前项和.
,
解析
(本小题满分14分)已知是首项为19,公差为-2的等差数列,为的前项和.(1)求通项及;(2)设是首项为1,公比为3的等比数列,求数列的通项公式及其前项和.
(本小题满分14分)
已知是首项为19,公差为-4的等差数列,为的前项和.
(Ⅰ)求通项及;
(Ⅱ)设是首项为1,公比为2的等比数列,求数列的通项公式及其前项和.
已知是首项为19,公差为-2的等差数列,为的前项和.
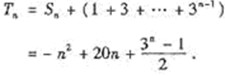
(Ⅱ)设是首项为1,公比为3的等比数列,求数列的通项公式及其前项和.