题目内容
已知数列
的首项
,前
项和为
,且
.
(Ⅰ)设
,求数列
的通项公式;
(Ⅱ)求数列
的前
项和
.
(Ⅰ)设
(Ⅱ)求数列
解:(Ⅰ)由![]()
得 ![]()
两式相减得
∴
即 ![]()
又
∴
,
∴
∴ 数列
是首项为
,公比为
的等比数列
∴
(Ⅱ)法一
由(Ⅰ)
知
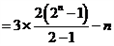
∴ ![]()
![]()
.
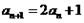
(Ⅱ)法二
由已知![]()
① 设
整理得
②对照① 、②,得
即①等价于
∴ 数列
是等比数列,首项为
,公比为
∴ ![]()
∴
.
练习册系列答案
相关题目
的首项