题目内容
(本小题满分12分)
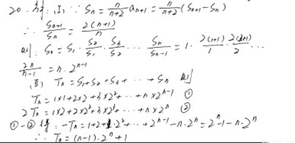
数列
的前n项和记为Sn,已知a1=1,Sn=
,(n=1,2,3,……)
(Ⅰ)求数列
的通项公式;
(Ⅱ)设Tn=S1+S2+S3+……+Sn,求Tn
【答案】
![]()
【解析】略
练习册系列答案
相关题目
题目内容
(本小题满分12分)
数列
的前n项和记为Sn,已知a1=1,Sn=
,(n=1,2,3,……)
(Ⅰ)求数列
的通项公式;
(Ⅱ)设Tn=S1+S2+S3+……+Sn,求Tn
![]()
【解析】略