题目内容
已知函数f(x)=
【答案】分析:先用定义判断单调性,根据单调性可求得函数的最大值最小值.
解答:解:设x1、x2是区间[2,6]上的任意两个实数,且x1<x2,
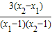
则
=
=
.
由2≤x1<x2≤6,得x2-x1>0,(x1-1)(x2-1)>0,
于是f(x1)-f(x2)>0,即f(x1)>f(x2).
所以函数f(x)=
是区间[2,6]上的减函数.
因此,函数f(x)=
在区间的两个端点上分别取得最大值与最小值,
最大值f(2)=3,最小值f(6)=
.
点评:本题考查函数单调性的判断及其应用,考查函数最值的求解,数基础题.
解答:解:设x1、x2是区间[2,6]上的任意两个实数,且x1<x2,
则
=
=
由2≤x1<x2≤6,得x2-x1>0,(x1-1)(x2-1)>0,
于是f(x1)-f(x2)>0,即f(x1)>f(x2).
所以函数f(x)=
因此,函数f(x)=
最大值f(2)=3,最小值f(6)=
点评:本题考查函数单调性的判断及其应用,考查函数最值的求解,数基础题.
练习册系列答案
相关题目
已知函数f(x)=x2-bx的图象在点A(1,f(1))处的切线l与直线3x-y+2=0平行,若数列{
}的前n项和为Sn,则S2010的值为( )
| 1 |
| f(n) |
A、
| ||
B、
| ||
C、
| ||
D、
|