题目内容
已知椭圆A.
B.
C.
D.
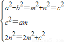
【答案】分析:根据是a、m的等比中项可得c2=am,根据椭圆与双曲线有相同的焦点可得a2+b2=m2+n2=c,根据n2是2m2与c2的等差中项可得2n2=2m2+c2,联立方程即可求得a和c的关系,进而求得离心率e.
解答:解:由题意:
∴
,
∴
,
∴
.
故选D.
点评:本题主要考查了椭圆的性质,属基础题.
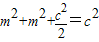
解答:解:由题意:
∴
∴
∴
故选D.
点评:本题主要考查了椭圆的性质,属基础题.
练习册系列答案
相关题目