题目内容
(1)已知函数f(x)=x2+3(m+1)x+n的零点是1和2,求函数y=logn(mx+1)的零点;
(2)函数y=x2+(a+1)x+a的两个不同的零点是x1和x2,且x1,x2的倒数平方和为2,求a的值。
(2)函数y=x2+(a+1)x+a的两个不同的零点是x1和x2,且x1,x2的倒数平方和为2,求a的值。
解:(1)依题意得:

∴
,令
∴函数
的零点为0
(2)依题意得:

由③得
把①②代入④得:
∴
∵方程有两个不等实根即⊿>0
a
1
∴a=-1
∴
∴函数
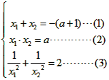
(2)依题意得:
由③得
把①②代入④得:
∴
∵方程有两个不等实根即⊿>0
∴a=-1
练习册系列答案
相关题目