题目内容

集合A={0,2,a},B={1,a2},若A∪B={0,1,2,4,16},则a的值为   
【答案】分析:根据题意,由并集的计算方法,结合a与a2的关系,易得 ,即可得答案.
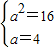
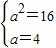
解答:解:∵A={0,2,a},B={1,a2},A∪B={0,1,2,4,16}

∴a=4,
故答案为:4.
点评:本题考查了集合的并集运算,并用观察法得到相对应的元素,从而求得答案,本题属于容易题.
练习册系列答案
相关题目

违法和不良信息举报电话:027-86699610 举报邮箱:58377363@163.com

精英家教网