题目内容

如图,在四棱锥O-ABCD中,底面ABCD是边长为1的菱形,∠ABC=,OA⊥底面ABCD,OA=2,M为OA的中点。
(1)求异面直线AB与MD所成角的大小;
(2)求点B到面OCD的距离。
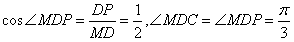
解:(1)∵CD∥AB,
∴∠MDC为异面直线AB与MD所成角(或其补角)
作AP⊥CD于点P,连接MP
∵OA⊥底面ABCD,
∴CD⊥MP。




∴AB与MD所成角的大小为
(2)∵AB∥平面OCD,
∴点B和点A到平面OCD的距离相等
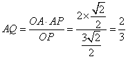
连接OP,过点A作AQ⊥OP于点Q,
∵AP⊥CD,OA⊥CD,
∴CD⊥平面OAP
平面OAP,

又∵
平面OCD,线段的长就是点A到平面OCD的距离。



∴点B到面OCD的距离为
练习册系列答案
相关题目

违法和不良信息举报电话:027-86699610 举报邮箱:58377363@163.com

精英家教网