题目内容
已知f(x)是定义在实数集R上的函数,且满足
【答案】分析:由
,可求出函数的周期,然后利用周期性求出f(2007)的值.
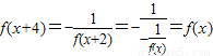
解答:解:因为
,
所以
,所以函数的周期为4.
所以f(2007)=f(501×4+3)=f(3),
当x=1时,因为
,所以f(3)=
.
所以(2007)=f(3)=8,
故答案为:8.
点评:本题主要考查函数周期性的应用,利用条件先求出函数的周期性是解决本题的关键.
解答:解:因为
所以
所以f(2007)=f(501×4+3)=f(3),
当x=1时,因为
所以(2007)=f(3)=8,
故答案为:8.
点评:本题主要考查函数周期性的应用,利用条件先求出函数的周期性是解决本题的关键.
练习册系列答案
相关题目