题目内容
已知{an}为等差数列,Sn为其前n项和,若a1=
【答案】分析:根据等差数列的性质可求出公差,从而可求出第二项,以及等差数列的前n项和.
解答:解:根据{an}为等差数列,S2=a1+a2=a3=
+a2;
∴d=a3-a2=
∴a2=
+
=1
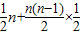
Sn=
=
故答案为:1,
点评:本题主要考查了等差数列的前n项和,以及等差数列的通项公式,属于容易题.
解答:解:根据{an}为等差数列,S2=a1+a2=a3=
∴d=a3-a2=
∴a2=
Sn=
故答案为:1,
点评:本题主要考查了等差数列的前n项和,以及等差数列的通项公式,属于容易题.
练习册系列答案
相关题目