搜索
题目内容
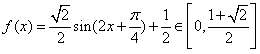
已知函数y=f(x)=sin
2
x+sinx·cosx+cos2x。
(1)求y=f(x)的最小正周期;
(2)当
时,求函数y=f(x)的取值范围。
试题答案
相关练习册答案
解:(1)
∴
∴
的最小正周期
。
(2)由(1)得
由
得
所以
从而
即函数
的取值范围是
。
练习册系列答案
欢乐岛暑假小小练系列答案
过好暑假每一天系列答案
暑假生活学习与生活系列答案
小学升初中衔接教材中南大学出版社系列答案
暑假衔接起跑线系列答案
暑假直通车系列答案
快乐暑假甘肃少年儿童出版社系列答案
学习总动员暑假总复习系列答案
暑假一本通内蒙古大学出版社系列答案
轻松总复习假期作业系列答案
相关题目
16、已知函数y=f(x)是R上的奇函数且在[0,+∞)上是增函数,若f(a+2)+f(a)>0,求a的取值范围.
2、已知函数y=f(x+1)的图象过点(3,2),则函数f(x)的图象关于x轴的对称图形一定过点( )
A、(2,-2)
B、(2,2)
C、(-4,2)
D、(4,-2)
已知函数y=f(x)是偶函数,当x<0时,f(x)=x(1-x),那么当x>0时,f(x)=
-x(1+x)
-x(1+x)
.
已知函数y=f(x)是定义在R上的奇函数,当x>0 时,f(x)的图象如图所示,则不等式x[f(x)-f(-x)]≤0 的解集为
[-3,3]
[-3,3]
.
已知函数y=f(x)的图象如图,则满足
f(
lo
g
2
(x-1)
)•f(
2
-
x
2
-1
)≥0
的x的取值范围为
(1,3]
(1,3]
.
关 闭
试题分类
高中
数学
英语
物理
化学
生物
地理
初中
数学
英语
物理
化学
生物
地理
小学
数学
英语
其他
阅读理解答案
已回答习题
未回答习题
题目汇总
试卷汇总
练习册解析答案