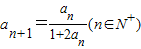
题目内容
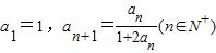
在数列{an}中,已知(1)求a2,a3,a4,并由此猜想数列{an}的通项公式an的表达式;
(2)用适当的方法证明你的猜想.
【答案】分析:(1)利用
,n分别取2,3,4,可求出a2,a3,a4,并由此猜想数列{an}的通项公式;
(2)用数学归纳法证明:①
,猜想成立;②假设当n=k时成立,利用
,可证得当n=k+1时猜想也成立,故可得结论.
解答:解:(1)∵
.
∴
….(1分)
…(2分)
…(3分)
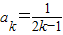
由此猜想数列{an}的通项公式
…..(5分)
(2)下面用数学归纳法证明
①当n=1时,
,猜想成立…..(6分)
②假设当n=k(k∈N+,k≥1)猜想成立,即
….(7分)
∵
.…(8分)
∴
…(12分)
即当n=k+1时猜想也成立…..(13分)
根据①和②,可知猜想对任何n∈N+都成立…..(14分)
(用其他方法正确证明也给分)
点评:本题以数列递推式为载体,考查数列的通项的猜想与证明,解题的关键是利用数学归纳法证明,尤其第二步的证明.
(2)用数学归纳法证明:①
解答:解:(1)∵
∴
由此猜想数列{an}的通项公式
(2)下面用数学归纳法证明
①当n=1时,
②假设当n=k(k∈N+,k≥1)猜想成立,即
∵
∴
即当n=k+1时猜想也成立…..(13分)
根据①和②,可知猜想对任何n∈N+都成立…..(14分)
(用其他方法正确证明也给分)
点评:本题以数列递推式为载体,考查数列的通项的猜想与证明,解题的关键是利用数学归纳法证明,尤其第二步的证明.
练习册系列答案
相关题目