题目内容
已知三点P(5,2)、F1(-6,0)、F2(6,0).(Ⅰ)求以F1、F2为焦点且过点P的椭圆标准方程;
(Ⅱ)设点P、F1、F2关于直线y=x的对称点分别为P′、F1′、F2′,求以F1′、F2′为焦点且过点P′的双曲线的标准方程.
【答案】分析:(Ⅰ)根据题意设出所求的椭圆的标准方程,然后代入半焦距,求出a,b.最后写出椭圆标准方程.
(Ⅱ)根据三个已知点的坐标,求出关于直线y=x的对称点分别为点,设出所求双曲线标准方程,代入求解即可.
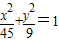
解答:解:(1)由题意可设所求椭圆的标准方程为
(a>b>0),
其半焦距c=6

∴
,b2=a2-c2=9.
所以所求椭圆的标准方程为
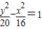
(2)点P(5,2)、F1(-6,0)、F2(6,0)
关于直线y=x的对称点分别为点P′(2,5)、F1′(0,-6)、F2′(0,6).
设所求双曲线的标准方程为
由题意知,半焦距
c1=6,
,
b12=c12-a12=36-20=16.
所以所求双曲线的标准方程为
.
点评:本小题主要考查椭圆与双曲线的基本概念、标准方程、几何性质等基础知识和基本运算能力.属于中档题.
(Ⅱ)根据三个已知点的坐标,求出关于直线y=x的对称点分别为点,设出所求双曲线标准方程,代入求解即可.
解答:解:(1)由题意可设所求椭圆的标准方程为
其半焦距c=6
∴
所以所求椭圆的标准方程为
(2)点P(5,2)、F1(-6,0)、F2(6,0)
关于直线y=x的对称点分别为点P′(2,5)、F1′(0,-6)、F2′(0,6).
设所求双曲线的标准方程为
由题意知,半焦距
c1=6,
b12=c12-a12=36-20=16.
所以所求双曲线的标准方程为
点评:本小题主要考查椭圆与双曲线的基本概念、标准方程、几何性质等基础知识和基本运算能力.属于中档题.
练习册系列答案
相关题目