题目内容

下列命题中,真命题的个数有    (    )

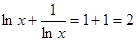
③“”是“”的充要条件;

是奇函数.

(A)1个   (B)2个     (C)3个        (D)4个

 

【答案】

C

【解析】

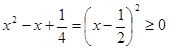
试题分析:由知①是真命题;当时,知②是真命题;若,而若知“”是“”的必要不充分条件,所以③是假命题;令,显然,则知“是奇函数”是真命题.

考点:真假命题的判断.

 

练习册系列答案
相关题目

违法和不良信息举报电话:027-86699610 举报邮箱:58377363@163.com

精英家教网