题目内容
已知中心在坐标原点,对称轴为坐标轴的双曲线C的离心率A.
B.
C.
D.
【答案】分析:通过双曲线的准线方程判断双曲线的焦点所在轴,利用离心率与准线方程,求出a,c,然后求出渐近线方程.
解答:解:因为已知中心在坐标原点,对称轴为坐标轴的双曲线C的离心率
,一条准线方程为
,
则双曲线的焦点在x轴,所以
,所以a=2,c=3,则b=
,
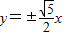
所以双曲线的渐近线方程为:
.
故选D.
点评:本题考查双曲线的简单性质的应用,判断双曲线的焦点所在轴是解题的关键,考查计算能力.
解答:解:因为已知中心在坐标原点,对称轴为坐标轴的双曲线C的离心率
则双曲线的焦点在x轴,所以
所以双曲线的渐近线方程为:
故选D.
点评:本题考查双曲线的简单性质的应用,判断双曲线的焦点所在轴是解题的关键,考查计算能力.
练习册系列答案
相关题目