题目内容
已知数列{an}满足a1=1,且an=2an-1+2n(n≥2且n∈N*).(1)求证:数列{
(2)求数列{an}的通项公式.
【答案】分析:(1)由an=2an-1+2n,两边同时除以2n,即可证明
(2)由(1)可求
,进而可求an
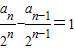
解答:证明:(1)∵an=2an-1+2n,两边同时除以2n,可得
∴
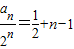
,又
=
∴数列{
}是以
为首项,以1为公差的等差数列;
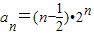
(2)解:由(1)可知
=
∴
点评:本题主要考查了利用数列的递推公式构造等差数列求解数列的通项公式,解题的关键是在已知递推公式的两边同时除以2n.
(2)由(1)可求
解答:证明:(1)∵an=2an-1+2n,两边同时除以2n,可得
∴
∴数列{
(2)解:由(1)可知
∴
点评:本题主要考查了利用数列的递推公式构造等差数列求解数列的通项公式,解题的关键是在已知递推公式的两边同时除以2n.
练习册系列答案
相关题目