题目内容

”m>n>0”是”方程mx2+ny2=1表示焦点在y轴上的椭圆”的( )
A.充分而不必要条件
B.必要而不充分条件
C.充要条件
D.既不充分也不必要条件
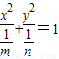
【答案】分析:将方程mx2+ny2=1转化为,然后根据椭圆的定义判断.
解答:解:将方程mx2+ny2=1转化为
根据椭圆的定义,要使焦点在y轴上必须满足,且,即m>n>0
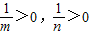
反之,当m>n>0,可得出>0,此时方程对应的轨迹是椭圆
综上证之,”m>n>0”是”方程mx2+ny2=1表示焦点在y轴上的椭圆”的充要条件
故选C.
点评:本题考查椭圆的定义,难度不大,解题认真推导.
练习册系列答案
相关题目

违法和不良信息举报电话:027-86699610 举报邮箱:58377363@163.com

精英家教网