题目内容
已知圆满足:①截y轴所得弦长为2;②被x轴分成两段圆弧,其弧长的比为3:1;③圆心到直线l:x-2y=0的距离为
【答案】分析:设出圆P的圆心坐标,由圆被x轴分成两段圆弧,其弧长的比为3:1,得到圆P截x轴所得劣弧对的圆心角为90°,根据垂径定理得到圆截x轴的弦长,找出r与b的关系式,又根据圆与y轴的弦长为2,利用垂径定理得到r与a的关系式,两个关系式联立得到a与b的关系式;然后利用点到直线的距离公式求出P到直线x-2y=0的距离,让其等于
,得到a与b的关系式,将两个a与b的关系式联立即可求出a与b的值,得到圆心P的坐标,然后利用a与b的值求出圆的半径r,根据圆心和半径写出圆的方程即可.
解答:解:设圆P的圆心为P(a,b),半径为r,
则点P到x轴,y轴的距离分别为|b|,|a|.
由题设知圆P截x轴所得劣弧对的圆心角为90°,
知圆P截x轴所得的弦长为
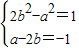
.故r2=2b2
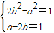
又圆P被y轴所截得的弦长为2,所以有r2=a2+1.从而得2b2-a2=1;
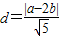
又因为P(a,b)到直线x-2y=0的距离为
,所以
=
,即有a-2b=±1,
由此有
或
解方程组得
或
,于是r2=2b2=2,
所求圆的方程是:(x+1)2+(y+1)2=2,或(x-1)2+(y-1)2=2.
点评:本小题主要考查轨迹的思想,考查综合运用知识建立曲线方程的能力,是一道中档题.
解答:解:设圆P的圆心为P(a,b),半径为r,
则点P到x轴,y轴的距离分别为|b|,|a|.
由题设知圆P截x轴所得劣弧对的圆心角为90°,
知圆P截x轴所得的弦长为
又圆P被y轴所截得的弦长为2,所以有r2=a2+1.从而得2b2-a2=1;
又因为P(a,b)到直线x-2y=0的距离为
由此有
解方程组得
所求圆的方程是:(x+1)2+(y+1)2=2,或(x-1)2+(y-1)2=2.
点评:本小题主要考查轨迹的思想,考查综合运用知识建立曲线方程的能力,是一道中档题.
练习册系列答案
相关题目