题目内容

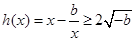
已知.

(Ⅰ)当时,判断的奇偶性,并说明理由;

(Ⅱ)当时,若,求的值;

(Ⅲ)若,且对任何不等式恒成立,求实数的取值范围.

 

【答案】

(Ⅰ)既不是奇函数,也不是偶函数;(Ⅱ)

(Ⅲ)当时,的取值范围是;当时,的取值范围是;当时,的取值范围是.

【解析】

试题分析:(Ⅰ)对函数奇偶性的判断,一定要结合函数特征先作大致判断,然后再根据奇函数偶函数的定义作严格的证明.当时,,从解析式可以看出它既不是奇函数,也不是偶函数.对既不是奇函数,也不是偶函数的函数,一般取两个特殊值说明.

(Ⅱ)当时,, 由,这是一个含有绝对值符号的不等式,对这种不等式,一般先分情况去绝对值符号.这又是一个含有指数式的不等式,对这种不等式,一般将指数式看作一个整体,先求出指数式的值,然后再利用指数式求出的值.

(Ⅲ)不等式恒成立的问题,一般有以下两种考虑,一是分离参数,二是直接求最值.在本题中,分离参数比较容易.分离参数时需要除以,故首先考虑的情况. 易得时,取任意实数,不等式恒成立.

,此时原不等式变为;即,这时应满足:,所以接下来就求的最大值和的最小值.在求这个最大值和最小值时,因数还有一个参数,所以又需要对进行讨论.

试题解析:(Ⅰ)当时,既不是奇函数也不是偶函数  

,∴ 

所以既不是奇函数,也不是偶函数           3分

(Ⅱ)当时,, 由  

  

解得 

所以           8分

(Ⅲ)当时,取任意实数,不等式恒成立,

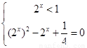
故只需考虑,此时原不等式变为;即

又函数上单调递增,所以;

对于函数 

①当时,在单调递减,,又,

所以,此时的取值范围是  

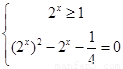
②当,在上,,

时,,此时要使存在,

必须有     即,此时的取值范围是

综上,当时,的取值范围是;

时,的取值范围是;

时,的取值范围是            13分

考点:1、函数的奇偶性和单调性;2、函数的最值;3、不等关系.

 

练习册系列答案
相关题目

违法和不良信息举报电话:027-86699610 举报邮箱:58377363@163.com

精英家教网