题目内容
已知等比数列{an}中,a3=-18,a7=-2,则a5= .
【答案】分析:设出等比数列的公比,由已知求出公比,代入等比数列的通项公式求a5.
解答:解:在等比数列{an}中,设公比为q,
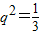
由a3=-18,a7=-2,则
,
∴
,
则a5=
故答案为-6.
点评:本题考查了等比数列的通项公式,是基础的计算题,属会考题型.
解答:解:在等比数列{an}中,设公比为q,
由a3=-18,a7=-2,则
∴
则a5=
故答案为-6.
点评:本题考查了等比数列的通项公式,是基础的计算题,属会考题型.
练习册系列答案
相关题目