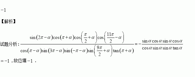
题目内容
化简
练习册系列答案
相关题目
2.如果(2x-y)+(x+3)i=0(x,y∈R),则x+y的值是( )
| A. | 18 | B. | $\frac{1}{2}$ | C. | 3 | D. | -9 |
1.若f(x)=$\left\{\begin{array}{l}{(1-2a)x+2,x≤1}\\{2{a}^{x},x>1}\end{array}\right.$对任意x1≠x2,都有$\frac{f({x}_{1})-f({x}_{2})}{{x}_{1}-{x}_{2}}$<0成立,那么a的范围是( )
| A. | $(\frac{1}{2},1)$ | B. | $[\frac{3}{4},1)$ | C. | $(\frac{1}{2},\frac{3}{4}]$ | D. | $(0,\frac{3}{4}]$ |
17.$\frac{1}{2}+({\frac{1}{2}+\frac{1}{4}})+({\frac{1}{2}+\frac{1}{4}+\frac{1}{8}})+…+({\frac{1}{2}+\frac{1}{4}+…+\frac{1}{{{2^{10}}}}})$的值为( )
| A. | 7+$\frac{1}{2^9}$ | B. | 9+$\frac{1}{{{2^{10}}}}$ | C. | 11+$\frac{1}{{{2^{11}}}}$ | D. | 7+$\frac{1}{{{2^{10}}}}$ |
20.若幂函数$y=({{m^2}-5m+7}){x^{{m^2}-6}}$在(0,+∞)单调递增,则实数m值为( )
| A. | 3 | B. | 2 | C. | 2或3 | D. | -2或-3 |
16.通过随机询问200名性别不同的大学生是否爱好“踢毽子运动”,计算得到统计量值k2的观测值k≈4.892,参照下表,得到的正确结论是( )
| P(k2≥k) | 0.10 | 0.05 | 0.010 |
| k | 2.706 | 3.841 | 6.635 |
| A. | 在犯错误的概率不超过5%的前提下,认为“爱好该运动与性别有关” | |
| B. | 在犯错误的概率不超过5%的前提下,认为“爱好该运动与性别无关” | |
| C. | 有99%以上的把握认为“爱好该运动与性有关” | |
| D. | 有99%以上的把握认为“爱好该运动与性别无关” |