题目内容
已知集合A={x|x2+px+q=0},B={x|qx2+px+1=0}同时满足①A∩B≠
,②A∩(CRB)={-2},其中p、q均为不等于零的实数,求p、q的值。
解:设
,则
,否则将有q=0与题设矛盾。
于是由
,
两边同除以
,得
,知
,
故集合A、B中的元素互为倒数。
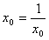
由①知存在
,使得
,且
,得
或
,
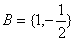
由②知A={1,-2}或A={-1,-2}。
若A={1,-2},则
,有
,
同理,若A={-1,-2},则
,得p=3,q=2。
综上,p=1,q=-2或p=3,q=2。
于是由
两边同除以
故集合A、B中的元素互为倒数。
由①知存在
由②知A={1,-2}或A={-1,-2}。
若A={1,-2},则
同理,若A={-1,-2},则
综上,p=1,q=-2或p=3,q=2。
练习册系列答案
相关题目