题目内容
已知数列{an}满足
【答案】分析:由am+n=aman对任意的m,n都成立,利用迭代法可得,
,从而可得数列{an}以
为首项,
为公比的等比数列,代入等比数列的前n项和公式可求
解答:解:∵am+n=aman对任意的m,n都成立
∴
故数列{an}以
为首项,
为公比的等比数列
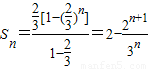
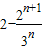
由等比数列的前n项和公式可得
故答案为:
点评:迭代法求通项公式是数列中的一个重点内容,解决本题的关键是要由已知条件求出数列是等比数列.
解答:解:∵am+n=aman对任意的m,n都成立
∴
故数列{an}以
由等比数列的前n项和公式可得
故答案为:
点评:迭代法求通项公式是数列中的一个重点内容,解决本题的关键是要由已知条件求出数列是等比数列.
练习册系列答案
相关题目