题目内容
椭圆A.10
B.12
C.20
D.16
【答案】分析:由椭圆的标准方程,求出a的值,由△ABF2的周长是 (|AF1|+|AF2|)+(|BF1|+|BF2|)=2a+2a 求出结果.
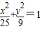
解答:解:∵椭圆方程
中,a=5,
∵△ABF2的周长是 (|AF1|+|AF2|)+(|BF1|+|BF2|)=2a+2a=4a=20
故选C.
点评:本题考查椭圆的定义、标准方程,以及简单性质的应用,利用椭圆的定义是解题的关键.
解答:解:∵椭圆方程
∵△ABF2的周长是 (|AF1|+|AF2|)+(|BF1|+|BF2|)=2a+2a=4a=20
故选C.
点评:本题考查椭圆的定义、标准方程,以及简单性质的应用,利用椭圆的定义是解题的关键.
练习册系列答案
相关题目