题目内容
已知双曲线C的中心在坐标原点O,对称轴为坐标轴,点(-2,0)是它的一个焦点,并且离心率为(Ⅰ)求双曲线C的方程;
(Ⅱ)已知点M(0,1),设P(x,y)是双曲线C上的点,Q是点P关于原点的对称点,求
【答案】分析:(I)设双曲线方程为
(a>0,b>0),依据题意,求出a、c、b的值,最后写出双曲线的标准方程和渐近线方程.
(Ⅱ)依题意有:Q(-x,-y),根据向量的坐标运算写出
,
从而
=-x2-y2+1再结合双曲线的范围得出x2≥3,从而求得
的取值范围.
解答:解:(Ⅰ)设双曲线方程为
(a>0,b>0),半焦距c,
依题意得
解得a=
,b=1,
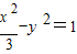
∴所求双曲线C的方程为
.
(Ⅱ)依题意有:Q(-x,-y),∴
,

∴
=-x2-y2+1
,又
,
=
,由
可得,x2≥3,
=
≤-2故
的取值范围x≤-2.
点评:本题考查双曲线的标准方程,以及双曲线的简单性质的应用.解答的关键是对双曲线标准方程的理解和向量运算的应用.
(Ⅱ)依题意有:Q(-x,-y),根据向量的坐标运算写出
解答:解:(Ⅰ)设双曲线方程为
依题意得
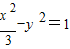
∴所求双曲线C的方程为
(Ⅱ)依题意有:Q(-x,-y),∴
∴
,又
点评:本题考查双曲线的标准方程,以及双曲线的简单性质的应用.解答的关键是对双曲线标准方程的理解和向量运算的应用.
练习册系列答案
相关题目