题目内容
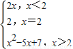
如图所示程序框图,若输出的结果y的值为1,则输入的x的值的集合为( )A.{3}
B.{2,3}
C.{
D.
【答案】分析:本题中所给的框图是一个选择结构,其对应的函数关系是y=
,由题输出的结果y的值为1,由此关系建立方程求出自变量的值即可
解答:解:由图知,此框图对应的函数关系是y=
又输出的y的值为1
若x<2,由2x=1得x=
,符合题意
若x>2,则有x2-5x+7=1,解得x=2(舍),或x=3,由此知输入的x的值的集合为{
}
故选C
点评:本题考查选择结构,解答本题,关键是根据所给的框图,得出函数关系,然后通过解方程求得输入的值.本题是算法框图考试常见的题型,其作题步骤是识图得出函数关系,由此函数关系解题,得出答案.
解答:解:由图知,此框图对应的函数关系是y=
又输出的y的值为1
若x<2,由2x=1得x=
若x>2,则有x2-5x+7=1,解得x=2(舍),或x=3,由此知输入的x的值的集合为{
故选C
点评:本题考查选择结构,解答本题,关键是根据所给的框图,得出函数关系,然后通过解方程求得输入的值.本题是算法框图考试常见的题型,其作题步骤是识图得出函数关系,由此函数关系解题,得出答案.
练习册系列答案
相关题目
如图所示程序框图,若输出的结果y的值为1,则输入的x的值的集合为( )
| A、{3} | ||
| B、{2,3} | ||
C、{
| ||
D、{
|