题目内容
设函数f(x)的导函数为f′(x),对任意x∈R都有f'(x)>f(x)成立,则( )A.3f(ln2)>2f(ln3)
B.3f(ln2)=2f(ln3)
C.3f(ln2)<2f(ln3)
D.3f(ln2)与2f(ln3)的大小不确定
【答案】分析:构造函数g(x)=
,利用导数可判断g(x)的单调性,由单调性可得g(ln2)与g(ln3)的大小关系,整理即可得到答案.
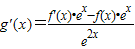
解答:解:令g(x)=
,则
=
,
因为对任意x∈R都有f'(x)>f(x),
所以g′(x)>0,即g(x)在R上单调递增,
又ln2<ln3,所以g(ln2)<g(ln3),即
,
所以
,即3f(ln2)<2f(ln3),
故选C.
点评:本题考查导数的运算及利用导数研究函数的单调性,属中档题,解决本题的关键是根据选项及已知条件合理构造函数,利用导数判断函数的单调性.
解答:解:令g(x)=
因为对任意x∈R都有f'(x)>f(x),
所以g′(x)>0,即g(x)在R上单调递增,
又ln2<ln3,所以g(ln2)<g(ln3),即
所以
故选C.
点评:本题考查导数的运算及利用导数研究函数的单调性,属中档题,解决本题的关键是根据选项及已知条件合理构造函数,利用导数判断函数的单调性.
练习册系列答案
相关题目