题目内容
设f(x)=ax2+x-a,g(x)=2ax+5-3a(1)若f(x)在x∈[0,1]上的最大值是
(2)若对于任意x1∈[0,1],总存在x∈[0,1],使得g(x)=f(x1)成立,求a的取值范围.
【答案】分析:(1)函数f(x)可能取得最大值为f(0),f(1),f(-
),利用f(x)在x∈[0,1]上的最大值是
,求a的值,验证即可得到结论;
(2)对于任意x1∈[0,1],总存在x∈[0,1],使得g(x)=f(x1)成立,等价于f(x)⊆g(x),分类讨论,即可求得a的取值范围.
解答:解:(1)函数f(x)可能取得最大值为f(0),f(1),f(-
)
①当f(0)为最大值时,求得a=-1.25,由二次函数的最大值位置x=-
∈[0,1],与在x=0处取得最大值矛盾,故f(0)为最大值不成立;
②当f(1)为最大值时,f(1)=1≠1.25,故x=1处,f(x)取不到最大值;
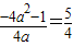
③当f(-
)为最大值时,由f(-
)=4,可得
,∴a=-
或a=-1,
当a=-
时,-
=2不在[0,1]内,故舍去.
综上知,a=-1;
(2)依题意f(x)⊆g(x),
①a>0时,g(x)∈[5-3a,5-a],f(x)∈[-a,1]
所以
,解得,
;
②a=0时,不符题意舍去;
③a<0时,f(x)最小值为f(0)或f(1),其中f(0)=-a,而-a<5-a,不符合题意
∴f(1)=1<5-a,也不符合题意
综上,
.
点评:本题考查函数的最值,考查分类讨论的数学思想,考查学生分析解决问题的能力,属于中档题.
(2)对于任意x1∈[0,1],总存在x∈[0,1],使得g(x)=f(x1)成立,等价于f(x)⊆g(x),分类讨论,即可求得a的取值范围.
解答:解:(1)函数f(x)可能取得最大值为f(0),f(1),f(-
①当f(0)为最大值时,求得a=-1.25,由二次函数的最大值位置x=-
②当f(1)为最大值时,f(1)=1≠1.25,故x=1处,f(x)取不到最大值;
③当f(-
当a=-
综上知,a=-1;
(2)依题意f(x)⊆g(x),
①a>0时,g(x)∈[5-3a,5-a],f(x)∈[-a,1]
所以
②a=0时,不符题意舍去;
③a<0时,f(x)最小值为f(0)或f(1),其中f(0)=-a,而-a<5-a,不符合题意
∴f(1)=1<5-a,也不符合题意
综上,
点评:本题考查函数的最值,考查分类讨论的数学思想,考查学生分析解决问题的能力,属于中档题.
练习册系列答案
相关题目