题目内容
已知数列{an}的前n项的和Sn=n2+2n,数列{bn}是正项等比数列,且满足a1=2b1,b3(a3-a1)=b1.(Ⅰ)求数列{an}和{bn}的通项公式;
(Ⅱ)记cn=an•bn,求数列{cn}的前n项的和.
【答案】分析:(Ⅰ)直接利用an=Sn-Sn-1 (n≥2)即可求数列{an}的通项公式,(注意检验首项是否适合);再代入a1=2b1,b3(a3-a1)=b1即可求{bn}的通项公式;
(Ⅱ)先整理出数列{cn}的通项公式,再对数列{cn}利用错位相减法求和即可.
解答:解(1)数列{an}前n项的和Sn=n2+2n∴an=Sn-Sn-1=2n+1(n∈N,n≥2)(2分)
又an=S1=3,
所以数列{an}的通项公式为an=2n+1(n∈N*)(3分)
因为数列{bn}是正项等比数列,
,∴
,(4分)
公比为
,(5分)
数列{bn}的通项公式为
(6分)
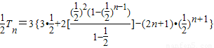
(2)所以
,设数列{cn}的前n项的和为Tn
…
+…+(2n-1)
+(2n+1)
]
…+

∴
(12分)
点评:本题的第二问考查了数列求和的错位相减法.错位相减法适用于通项为一等差数列乘一等比数列组成的新数列.
(Ⅱ)先整理出数列{cn}的通项公式,再对数列{cn}利用错位相减法求和即可.
解答:解(1)数列{an}前n项的和Sn=n2+2n∴an=Sn-Sn-1=2n+1(n∈N,n≥2)(2分)
又an=S1=3,
所以数列{an}的通项公式为an=2n+1(n∈N*)(3分)
因为数列{bn}是正项等比数列,
公比为
数列{bn}的通项公式为
(2)所以
∴
点评:本题的第二问考查了数列求和的错位相减法.错位相减法适用于通项为一等差数列乘一等比数列组成的新数列.
练习册系列答案
相关题目
已知数列{an}的前n项和Sn=an2+bn(a、b∈R),且S25=100,则a12+a14等于( )
| A、16 | B、8 | C、4 | D、不确定 |