题目内容
数列{an}的首项为3,{bn}为等差数列且bn=an+1-an(n∈N*).若b3=-2,b10=12,则a8= .
【答案】分析:先利用等差数列的通项公式分别表示出b3和b10,联立方程求得b1和d的值,进而利用叠加法求得b1+b2+…+bn=an+1-a1,最后利用等差数列的求和公式求得所求.
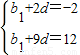
解答:解:依题意可知
解得b1=-6,d=2
∵bn=an+1-an,
∴b1+b2+…+bn=an+1-a1,
∴a8=b1+b2+…+b7+3=
+3=3
故答案为:3
点评:本题主要考查了数列的递推式,以及对数列基础知识的熟练掌握,同时考查了运算求解的能力,属于基础题.
解答:解:依题意可知
∵bn=an+1-an,
∴b1+b2+…+bn=an+1-a1,
∴a8=b1+b2+…+b7+3=
故答案为:3
点评:本题主要考查了数列的递推式,以及对数列基础知识的熟练掌握,同时考查了运算求解的能力,属于基础题.
练习册系列答案
相关题目