题目内容
设
是公差不为0的等差数列
的前
项和,若
,则
( )
(A)
(B)
(C)
(D)
![]()
【答案】
A
【解析】
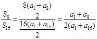
试题分析:由题意,
,所以
,而![]()
,故选A.
考点:1.等差数列基本量的求解;2.等差数列前n项和.
练习册系列答案
相关题目
题目内容
设
是公差不为0的等差数列
的前
项和,若
,则
( )
(A)
(B)
(C)
(D)
![]()
A
【解析】
试题分析:由题意,
,所以
,而![]()
,故选A.
考点:1.等差数列基本量的求解;2.等差数列前n项和.