题目内容
如图,在直三棱柱ABC-A′B′C′中,AB=BC=CA=a,
【答案】分析:过点B'作A'C'的垂线,垂足为D,连接AD,证明∠B'AD即为AB′与侧面AC′所成角,结合题中数据,即可得到结论.
解答:
解:过点B'作A'C'的垂线,垂足为D,连接AD.
则∵AB=BC=CA,∴B'D⊥A'C',
∵B'D⊥AA',AA'∩A'C'=A',
∴B'D⊥平面AC',
∴∠B'AD即为AB′与侧面AC′所成角.
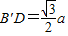
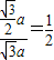
∵AB=BC=CA=a,
,
∴
,
∴sin∠B'AD=
=
,
∴∠B'AD=30°
故答案为:30°
点评:本题考查线面角,解题的关键是正确作出线面角,并进行计算,属于中档题.
解答:
则∵AB=BC=CA,∴B'D⊥A'C',
∵B'D⊥AA',AA'∩A'C'=A',
∴B'D⊥平面AC',
∴∠B'AD即为AB′与侧面AC′所成角.
∵AB=BC=CA=a,
∴
∴sin∠B'AD=
∴∠B'AD=30°
故答案为:30°
点评:本题考查线面角,解题的关键是正确作出线面角,并进行计算,属于中档题.
练习册系列答案
相关题目