题目内容
若函数f(x)在定义域D内某区间I上是增函数,而(1)请分别判断f(x)=x+4,g(x)=x2+4x在x∈(1,2)是否是“弱增函数”,并简要说明理由.
(2)证明函数h(x)=x2+a2x+4(a是常数且a∈R)在(0,1]上是“弱增函数”.
【答案】分析:(1)利用“弱增函数”的定义逐个判断即可;
(2)按“若增函数”的定义需证明两条:①证明h(x)在(0,1]上是增函数;②证明
在(0,1]上是减函数.
解答:解:(1)由于f(x)=x+4在(1,2)上是增函数,且F(x)=
在(1,2)上是减函数,
所以f(x)=x+4在(1,2)上是“弱增函数”,g(x)=x2+4x在(1,2)上是增函数,但
在(1,2)上不是减函数,
所以g(x)=x2+4x+2在(1,2)上不是“弱增函数”.
(2)因为h(x)=x2+a2•x+4的对称轴为x=-
≤0,开口向上,所以h(x)在(0,1]上是增函数.
下面证明函数F(x)=
在(0,1]上是减函数.
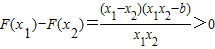
设0<x1<x2≤1,
则
,
∵0<x1<x2≤1,∴x1-x2<0,0<x1x2<1,
∴
,即F(x1)>F(x2).
所以F(x)在(0,1]上单调递减,
所以h(x)在(0,1]上是“弱增函数”;
点评:本题主要考查函数单调性的判断及证明,考查对新问题的理解分析及解决能力.
(2)按“若增函数”的定义需证明两条:①证明h(x)在(0,1]上是增函数;②证明
解答:解:(1)由于f(x)=x+4在(1,2)上是增函数,且F(x)=
所以f(x)=x+4在(1,2)上是“弱增函数”,g(x)=x2+4x在(1,2)上是增函数,但
所以g(x)=x2+4x+2在(1,2)上不是“弱增函数”.
(2)因为h(x)=x2+a2•x+4的对称轴为x=-
下面证明函数F(x)=
设0<x1<x2≤1,
则
∵0<x1<x2≤1,∴x1-x2<0,0<x1x2<1,
∴
所以F(x)在(0,1]上单调递减,
所以h(x)在(0,1]上是“弱增函数”;
点评:本题主要考查函数单调性的判断及证明,考查对新问题的理解分析及解决能力.
练习册系列答案
相关题目